Heer Bommel legt de Speciale relativiteits-theorie (uit)
Discussie tussen heer Bommel en Tom Poes
Tom Poes vraagt aan heer Bommel of hij hem misschien de speciale relativiteitstheorie kan uitleggen.
Dit is zijn antwoord....
Heer Bommel, een beetje ongemakkelijk in zijn grote zetel zittend, probeerde de complexe materie van de speciale relativiteitstheorie uit te leggen aan zijn slimme, maar altijd nieuwsgierige vriend Tom Poes. Hij frunnikte aan zijn jasje en haalde diep adem.
“Eh, kijk, Tom Poes,” begon hij, “het is eigenlijk heel simpel, hoor! Je hebt de tijd en je hebt de ruimte. Nou, volgens die Einstein, want die heeft dat allemaal bedacht, zijn tijd en ruimte helemaal niet zo vast als we dachten. Ze kunnen rekken en krimpen, afhankelijk van… eh, hoe snel je gaat.”
Tom Poes keek nieuwsgierig op. “Rekken en krimpen, zegt u?”.
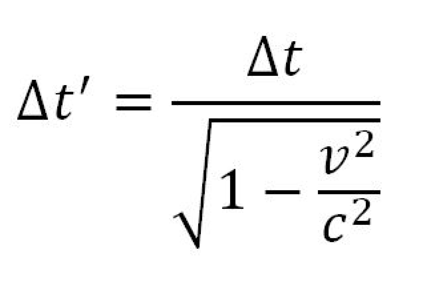
Heer Bommel knikte ernstig, terwijl hij zijn monocle even rechtzette. “Precies! Stel je voor, je zit in mijn Oude Schicht en we rijden vreselijk hard, zeg maar bijna zo snel als het licht. Dan gaat de tijd voor ons langzamer dan voor mensen die stil blijven staan. Dat noemen ze tijdsdilatatie, geloof ik. Het is net alsof je in een andere tijdzone komt, maar dan veel ingewikkelder!”
Tom Poes krabde nadenkend achter zijn oor. “Dus, als wij heel snel reizen, gaat de tijd voor ons langzamer?”
“Inderdaad! En het rare is,” vervolgde Bommel, zijn vingers door de lucht bewegend alsof hij iets probeerde te vangen, “dingen worden ook korter in de richting waarin je reist. Dat noemen ze lengtecontractie! Maar eh, dat is niet zo eenvoudig uit te leggen zonder een bordkrijt, vrees ik.”
Tom Poes glimlachte. “Dat klinkt inderdaad behoorlijk ingewikkeld, Heer Bommel. Maar het komt er dus op neer dat tijd en ruimte veranderen als je dichter bij de lichtsnelheid komt?”
Heer Bommel knikte tevreden. “Precies, precies! En het mooie is, het geldt voor iedereen, overal, want de lichtsnelheid is altijd hetzelfde. Of je nu op een fiets zit of in mijn Oude Schicht, het licht flitst altijd met dezelfde snelheid voorbij. Zo heeft die Einstein het uitgelegd.”
Tom Poes keek bewonderend naar zijn vriend. “Dat klinkt inderdaad bijzonder, Heer Bommel. Wat knap van u dat u dat allemaal zo goed begrijpt.”
Heer Bommel hief zijn borst een beetje op, trots maar ook lichtelijk opgelucht. “Nou, Tom Poes, het is eigenlijk heel eenvoudig als je het eenmaal snapt. Gewoon een kwestie van logisch nadenken, nietwaar?”
En terwijl Heer Bommel tevreden achteroverleunde, kon Tom Poes een glimlach niet onderdrukken.
Deel dit bericht
Reacties (0)
Plaats een reactie